Body Roundness Index (BRI) Calculator
Quick Answer
This calculator determines your Body Roundness Index from your height and waist circumference measurements. BRI estimates abdominal fat distribution and health risk more accurately than BMI for athletic populations.
- Calculates body shape eccentricity using the Thomas et al. (2013) formula
- Provides instant health risk interpretation based on validated research
- More accurate than BMI for athletes with higher muscle mass
How to Use This BRI Calculator
The Body Roundness Index calculator provides a more nuanced assessment of body composition than traditional BMI. Follow these steps to calculate your BRI accurately:
Step 1: Measure Your Height
Stand straight against a wall without shoes. Use a tape measure or stadiometer to record your height in centimeters or feet/inches. For athletes, measure at the same time of day for consistency, as height can vary by up to 2 cm throughout the day due to spinal compression.
Step 2: Measure Your Waist Circumference
This measurement is critical for accurate BRI calculation. Locate the narrowest point of your torso, typically at navel level. Stand relaxed with feet shoulder-width apart. Wrap a flexible tape measure around your bare waist, keeping it parallel to the floor. Exhale normally (don't suck in) and record the measurement. For training consistency, measure in the morning before eating or exercise.
Step 3: Enter Your Measurements
Select your preferred unit system (metric or imperial) using the toggle. Enter your height and waist measurements in the corresponding fields. The calculator accepts decimal values for precision.
Step 4: Review Your Results
Click "Calculate BRI" to see your score and health risk interpretation. Results include your BRI value, risk category, waist-to-height ratio, and body eccentricity measure. Use the Advanced Options to add context about your sport for more relevant interpretation.
Pro Tip: For athletes monitoring body composition changes during training cycles, take BRI measurements weekly at the same time (morning, fasted) and track trends rather than individual readings. A change of 0.5 or more in BRI over 4-6 weeks indicates meaningful body composition change.
What is Body Roundness Index?
Body Roundness Index (BRI) is a body shape measurement that estimates abdominal fat distribution based on your height and waist circumference. Developed by Thomas et al. in 2013, BRI addresses a key limitation of BMI by accounting for how fat is distributed rather than just total body mass.
The BRI value represents the eccentricity of your body shape when modeled as an ellipse. The term "eccentricity" in geometry describes how elongated or circular an ellipse is. A value of 0 would represent a perfect circle, while a value approaching 1 represents a line. The BRI formula transforms this mathematical concept into a practical scale ranging from approximately 1 to 16, with most healthy adults falling between 1 and 10.
Unlike BMI which only considers total mass relative to height, BRI specifically targets the midsection where visceral fat accumulates. This is significant because visceral adipose tissue (VAT)—the fat surrounding internal organs—is strongly associated with metabolic disorders, cardiovascular disease, and type 2 diabetes risk. Research published in JAMA Network Open (2024) found that BRI was associated with all-cause mortality risk among US adults, independent of traditional risk factors.
Why BRI Matters for Athletes: Traditional BMI frequently misclassifies muscular athletes as "overweight" or "obese" because it cannot distinguish between muscle and fat mass. A rugby player with 10% body fat might have a BMI of 30, suggesting obesity, while their BRI would likely show a healthy value reflecting their lean midsection. BRI provides a more accurate assessment by focusing on where fat is stored rather than total body mass.
The Science Behind BRI Calculation
The BRI Formula
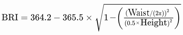
The Body Roundness Index uses the following equation developed by Thomas and colleagues:
![BRI = 364.2 − 365.5 × √(1 − [waist circumference / 2π]² / [0.5 × height]²)](/global/images/testing_images_body-roundness-index.jpg)
Where:
- Waist circumference = measured at navel level in centimeters
- Height = standing height in centimeters
- π (pi) = mathematical constant (approximately 3.14159)
The formula models the human body as an ellipse and calculates its eccentricity. The constants 364.2 and 365.5 convert the raw eccentricity value (which ranges from 0 to 1) into the more intuitive BRI scale.
Why This Formula Works
The BRI formula was developed and validated using dual-energy X-ray absorptiometry (DXA) scans and MRI imaging from the National Health and Nutrition Examination Survey (NHANES). Researchers found that BRI correlated strongly with both total body fat percentage and visceral adipose tissue volume—the two metrics most relevant to health outcomes.
The geometric approach is particularly clever: if you imagine your torso as an ellipse, a wider waist relative to height creates a more "circular" shape with higher eccentricity, indicating greater abdominal fat accumulation. Conversely, a narrow waist relative to height produces a more elongated ellipse with lower eccentricity, suggesting leaner body composition.
Calculation Example
Let's calculate BRI for a male athlete with the following measurements:
- Height: 180 cm (5'11")
- Waist Circumference: 82 cm (32.3 inches)
Step 1: Calculate the waist radius component: 82 / (2 × 3.14159) = 13.05 cm
Step 2: Square this value: 13.05² = 170.3
Step 3: Calculate half the height squared: (0.5 × 180)² = 8100
Step 4: Divide: 170.3 / 8100 = 0.021
Step 5: Subtract from 1: 1 - 0.021 = 0.979
Step 6: Take square root: √0.979 = 0.989
Step 7: Final calculation: 364.2 - (365.5 × 0.989) = BRI = 2.72
This result (BRI = 2.72) falls in the "Low Risk" category, indicating healthy body shape typical for athletes with good body composition.
Accuracy and Limitations
BRI provides estimates with approximately ±5% accuracy for assessing relative body roundness. However, several factors can affect accuracy:
- Measurement technique: Waist measurement location and tension significantly impact results
- Hydration status: Dehydration can temporarily reduce waist circumference
- Time of day: Measurements vary with eating, exercise, and daily fluid shifts
- Body type extremes: Very tall or very short individuals may show less accurate results
For precise body composition assessment in competitive athletes, BRI should complement other methods like skinfold measurements, bioelectrical impedance, or DXA scans rather than replace them entirely.
BRI Interpretation and Risk Categories
Based on research by Zhang et al. (2024) and the original Thomas et al. (2013) validation studies, BRI values correspond to the following health risk categories:
Sport-Specific BRI Applications
Different sports have varying optimal BRI ranges based on performance requirements and typical body compositions:
Endurance Sports (Running, Cycling, Triathlon)
Elite endurance athletes typically show BRI values between 1.5 and 3.0. Lower values correlate with improved power-to-weight ratios critical for performance. Marathon runners often have BRI values below 2.5, while ultramarathon athletes may show slightly higher values due to strategic body fat for fuel reserves.
Power Sports (Weightlifting, Football, Wrestling)
Power athletes display more variable BRI ranges (2.5-5.0) depending on their sport and weight class. Olympic weightlifters in lighter classes often show BRI values similar to endurance athletes, while heavyweight competitors may have higher values while maintaining excellent metabolic health. NFL linemen might have BRI values in the moderate risk range yet maintain athletic function.
Team Sports (Soccer, Basketball, Hockey)
Team sport athletes generally fall in the 2.0-4.0 BRI range. Position matters significantly: basketball guards and soccer midfielders typically show lower BRI values than power-focused positions like centers or goalkeepers. Seasonal variation of 0.5-1.0 in BRI is common between off-season and competition phases.
Combat Sports (Boxing, MMA, Judo)
Combat athletes manipulating weight for competition show dramatic BRI fluctuations. At competition weight, values typically range from 2.0-3.5. Between competitions, BRI may increase by 1-2 points during weight recovery phases. Long-term trends matter more than acute measurements in this population.
How to Improve Your BRI
If your BRI indicates moderate or high risk, or you're an athlete seeking optimal body composition, consider these evidence-based strategies:
For Reducing BRI (Decreasing Waist Circumference):
- Resistance training: Building core and trunk musculature improves posture and can reduce waist measurements independent of fat loss
- Cardiovascular exercise: High-intensity interval training (HIIT) is particularly effective at reducing visceral fat
- Dietary modifications: Reducing processed foods and emphasizing protein intake supports favorable body composition changes
- Sleep optimization: Poor sleep increases cortisol and promotes abdominal fat storage
- Stress management: Chronic stress elevates cortisol, which preferentially increases visceral fat
Timeline Expectations: Meaningful BRI improvements (0.5-1.0 point reduction) typically require 8-12 weeks of consistent effort. Athletes in structured training programs may see faster changes, while sedentary individuals beginning exercise programs should expect 12-16 weeks for significant improvements.
BRI vs. BMI: Which Should You Use?
While both metrics have value, they serve different purposes:
Use BMI When:
Screening large populations, quick health assessments, insurance/medical classifications, individuals with typical body composition.
Use BRI When:
Assessing athletes, monitoring training progress, evaluating metabolic health risk, working with muscular individuals.
For comprehensive assessment, consider using both metrics alongside waist-to-height ratio and, when available, direct body composition measurements.
⚠️ Medical Disclaimer: This calculator provides estimates for educational and fitness assessment purposes only. BRI results should not replace professional medical advice. Always consult with a qualified healthcare provider or sports medicine professional before making health or training decisions based on these calculations. Individual results may vary based on factors not included in this calculation.
Frequently Asked Questions
What is a good Body Roundness Index score?
A BRI below 3.41 indicates low health risk with healthy body shape. Values between 3.41-4.44 show no statistically significant increased risk. For athletes, optimal BRI varies by sport—endurance athletes often score 1.5-2.5, while power athletes may be healthy at 3.0-4.5. The key is matching your BRI to your performance goals and overall health markers.
Is BRI better than BMI for athletes?
Generally yes. BRI focuses on abdominal fat distribution rather than total weight, avoiding the common problem of BMI misclassifying muscular athletes as overweight. A football player with significant muscle mass might have an "obese" BMI but a healthy BRI, accurately reflecting their body composition and health status.
How do I measure waist circumference correctly for BRI?
Measure at navel level (umbilicus) while standing relaxed with feet shoulder-width apart. Use a flexible tape measure against bare skin, keeping it horizontal. Exhale normally—don't suck in your stomach—and record the measurement. For consistency, always measure at the same time of day, ideally in the morning before eating.
How often should I calculate my BRI?
For athletes actively modifying body composition, weekly measurements provide useful trend data. For general fitness monitoring, monthly assessments are sufficient. For routine health tracking, quarterly measurements work well. Always measure under consistent conditions for meaningful comparisons.
Can BRI detect visceral fat accurately?
BRI provides a validated estimate of visceral adipose tissue based on external measurements. Research shows strong correlation with imaging-based VAT measurements (MRI, CT scans). While not as precise as direct imaging, BRI offers a practical, non-invasive screening tool that identifies elevated visceral fat risk in most individuals.
Why is my BRI different from my BMI category?
BMI uses only height and weight, so it cannot distinguish between muscle and fat mass. BRI incorporates waist circumference to assess fat distribution specifically. You can have high BMI but healthy BRI if you carry significant muscle (common in athletes), or normal BMI but elevated BRI if you store fat centrally (sometimes called "skinny fat").
Does BRI account for different body types?
BRI accounts for variation in fat distribution but has limitations at body type extremes. Very tall or very short individuals, those with unusual torso-to-limb ratios, or athletes with exceptional muscle mass may find BRI less accurate. In these cases, supplement BRI with other body composition assessments for a complete picture.
References
- Thomas DM, Bredlau C, Bosy-Westphal A, et al. "Relationships between body roundness with body fat and visceral adipose tissue emerging from a new geometrical model." Obesity (Silver Spring). 2013;21(11):2264-2271.
- Zhang X, Ma N, Lin Q, Chen K, Zheng F, Wu J, Dong X, Niu W. "Body Roundness Index and All-Cause Mortality Among US Adults." JAMA Network Open. 2024 Jun 3;7(6):e2415051.
- Rico-Martín S, Calderón-García JF, Sánchez-Rey P, Franco-Antonio C, Martínez Alvarez M, Sánchez Muñoz-Torrero JF. "Effectiveness of body roundness index in predicting metabolic syndrome: A systematic review and meta-analysis." Obes Rev. 2020;21(7):e13023.
- Chang Y, Guo X, Chen Y, Guo L, Li Z, Yu S, Yang H, Sun Y. "A body shape index and body roundness index: two new body indices to identify diabetes mellitus among rural populations in northeast China." BMC Public Health. 2015;15:794.
- Maessen MF, Eijsvogels TM, Rijpma RJ, Hopman MT, Verbeek AL, de Groot MM. "Body roundness index as a non-invasive predictor of type 2 diabetes mellitus: a pooled analysis of the Maastricht and Nijmegen cohorts." Diabetes Metab Res Rev. 2019;35(6):e3176.
- American College of Sports Medicine. "ACSM's Guidelines for Exercise Testing and Prescription." 11th ed. Philadelphia: Wolters Kluwer; 2022.
- National Strength and Conditioning Association. "Essentials of Strength Training and Conditioning." 4th ed. Champaign, IL: Human Kinetics; 2016.
Similar Tests
- Body Mass Index (BMI) — calculated by taking a person's weight and dividing by their height squared.
- Waist to Hip Ratio (WHR)
- Waist to Height Ratio — a simple body composition measure
- Bodyfat Percentage Visual Method
- About the measures of Height and Waist girth
- Adiposity Index — another measure of body composition using the hip circumference and height
- Skinfold measurement — calipers are used to measure the thickness of the skin at a range of sites around the body.
Related Pages
- List of Body Composition Measurement Methods
- About body composition
- Methods for determining percent body fat
- Fitness Testing the overweight and obese
- What is the most effective method for losing weight?
- Videos of Anthropometric Tests including Skinfold Testing.